H Methode Rechner
Ableitung Von Funktionen Mit H Methode Anhand Dem Beispiel F X 4x 2 3x Erklaren Bitte Mathelounge
Tangentensteigung Mit Der H Methode Berechnen Mathelounge

Das Berechnen Der Momentanen Anderungsrate H Methode Schritt Fur Schritt Youtube
Am Schnellsten H Methode Online Rechner
![]()
H Methode Mit Beispiel Matheretter
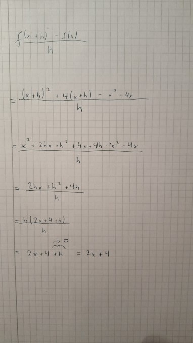
H Methode Anwenden Beim Ableiten Von X 2 4x Mathelounge

Rechnerisches Ableiten Mit Der H Methode Losung Aufgabe 2b Youtube

Steigung Mit Der H Methode Berechnen Diffentialquotient Youtube

Differentialquotient Und H Methode Mit F X 3x 2 Bei X 1 Youtube

Beispiel H Methode Und Differentialquotient Differenzenquotient Youtube
Beweis Fur Die Ableitung Von Sin X Matheguru
![]()
H Methode Erklarung Beispiele Mit Video
Posting Komentar untuk "H Methode Rechner"